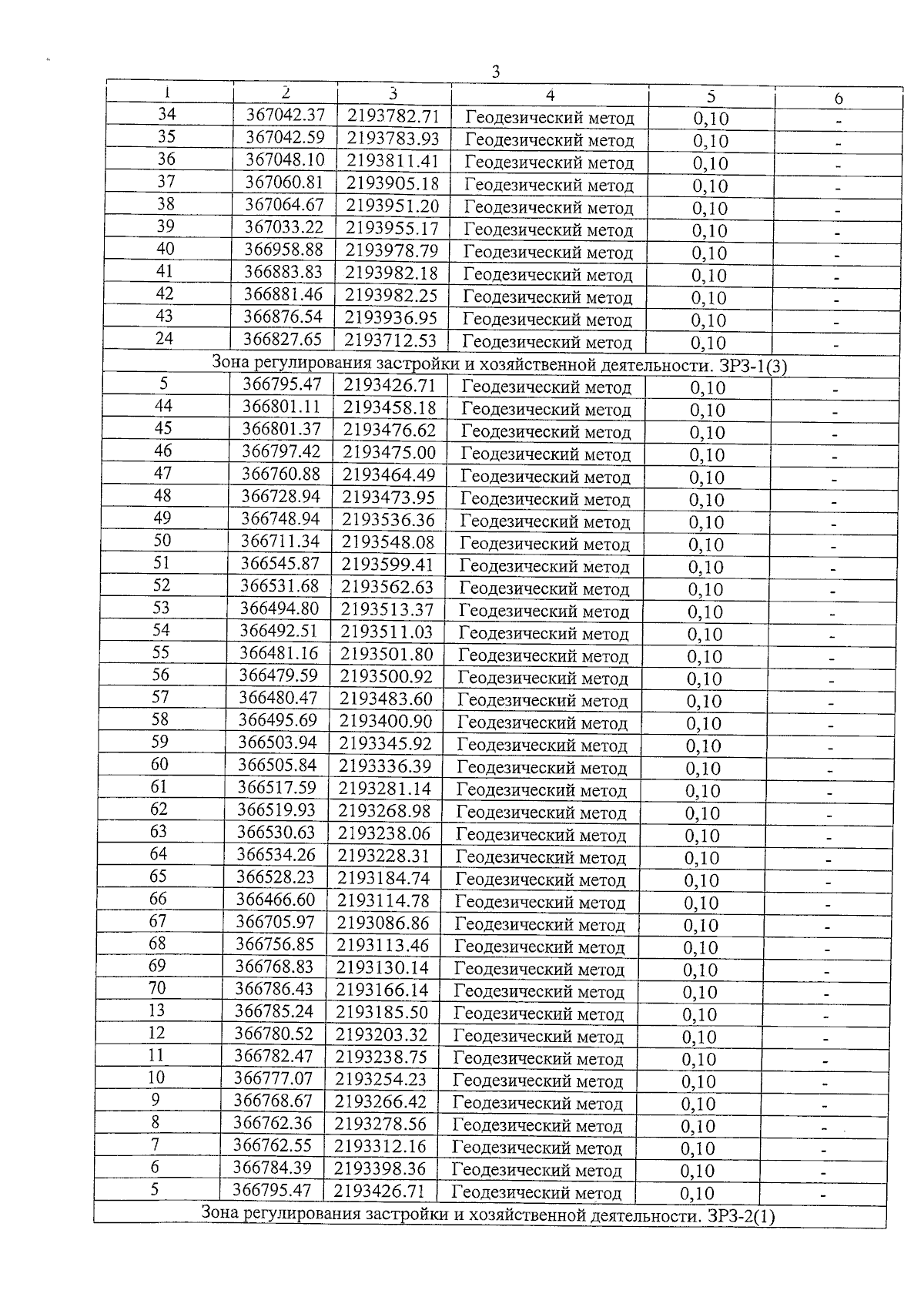
Постановление Правительства Московской области от 10.10.2024 № 1232-ПП
"Об установлении зон охраны объекта культурного наследия федерального значения "Усадьба "Пущино", ХIХ — нач. ХХ вв.", расположенного по адресу: Московская область, Городской округ Серпухов, город Пущино, и об утверждении требований к градостроительным регламентам в границах территорий данных зон"
"Об установлении зон охраны объекта культурного наследия федерального значения "Усадьба "Пущино", ХIХ — нач. ХХ вв.", расположенного по адресу: Московская область, Городской округ Серпухов, город Пущино, и об утверждении требований к градостроительным регламентам в границах территорий данных зон"
Номер опубликования: 5000202410110007
Дата опубликования:
11.10.2024
