Официальное опубликование правовых актов
ОФИЦИАЛЬНОЕ ОПУБЛИКОВАНИЕ
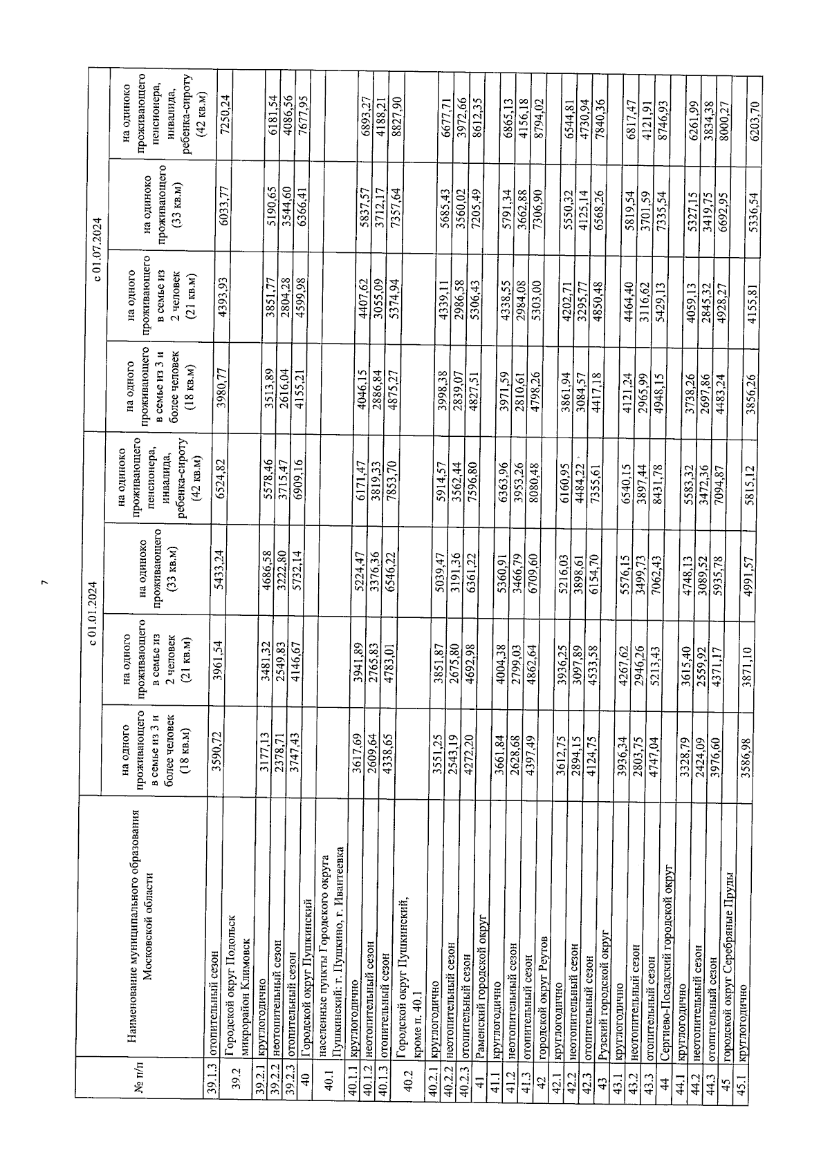
Постановление Правительства Московской области от 02.10.2024 № 1086-ПП
"О внесении изменений в постановление Правительства Московской области от 04.06.2024 № 555-ПП "Об установлении стандартов стоимости жилищно-коммунальных услуг в Московской области на 2024 год и на плановый период 2025-2026 годов"
Номер опубликования: 5000202410040003
Дата опубликования: 04.10.2024
Страница №31 из 55:
Увеличить