Официальное опубликование правовых актов
ОФИЦИАЛЬНОЕ ОПУБЛИКОВАНИЕ
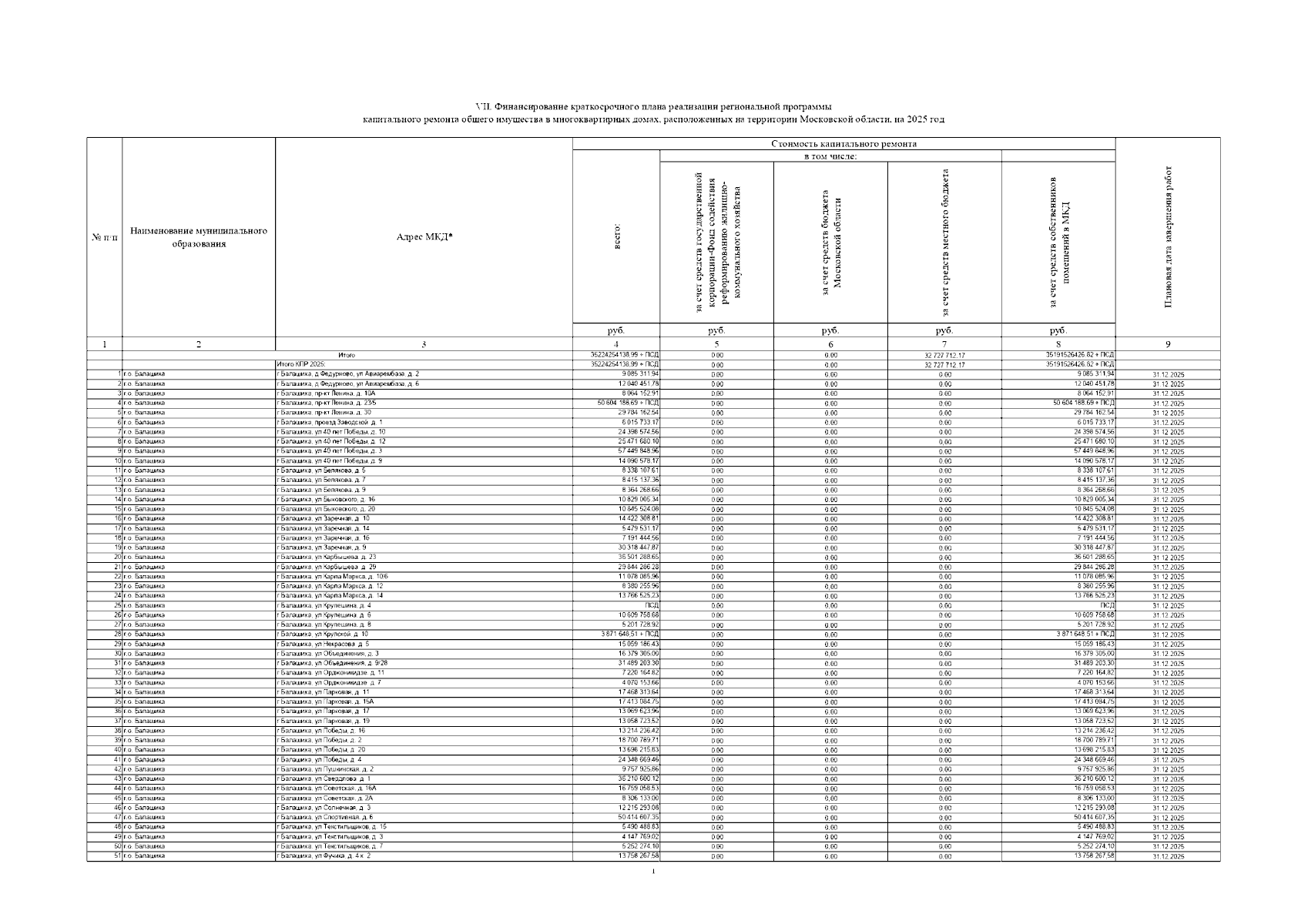
Постановление Правительства Московской области от 27.09.2024 № 1062-ПП
"О внесении изменений в краткосрочный план реализации региональной программы капитального ремонта общего имущества в многоквартирных домах, расположенных на территории Московской области, на 2023-2025 годы"
Номер опубликования: 5000202410020008
Дата опубликования: 02.10.2024
Страница №110 из 138:
Увеличить