Официальное опубликование правовых актов
ОФИЦИАЛЬНОЕ ОПУБЛИКОВАНИЕ
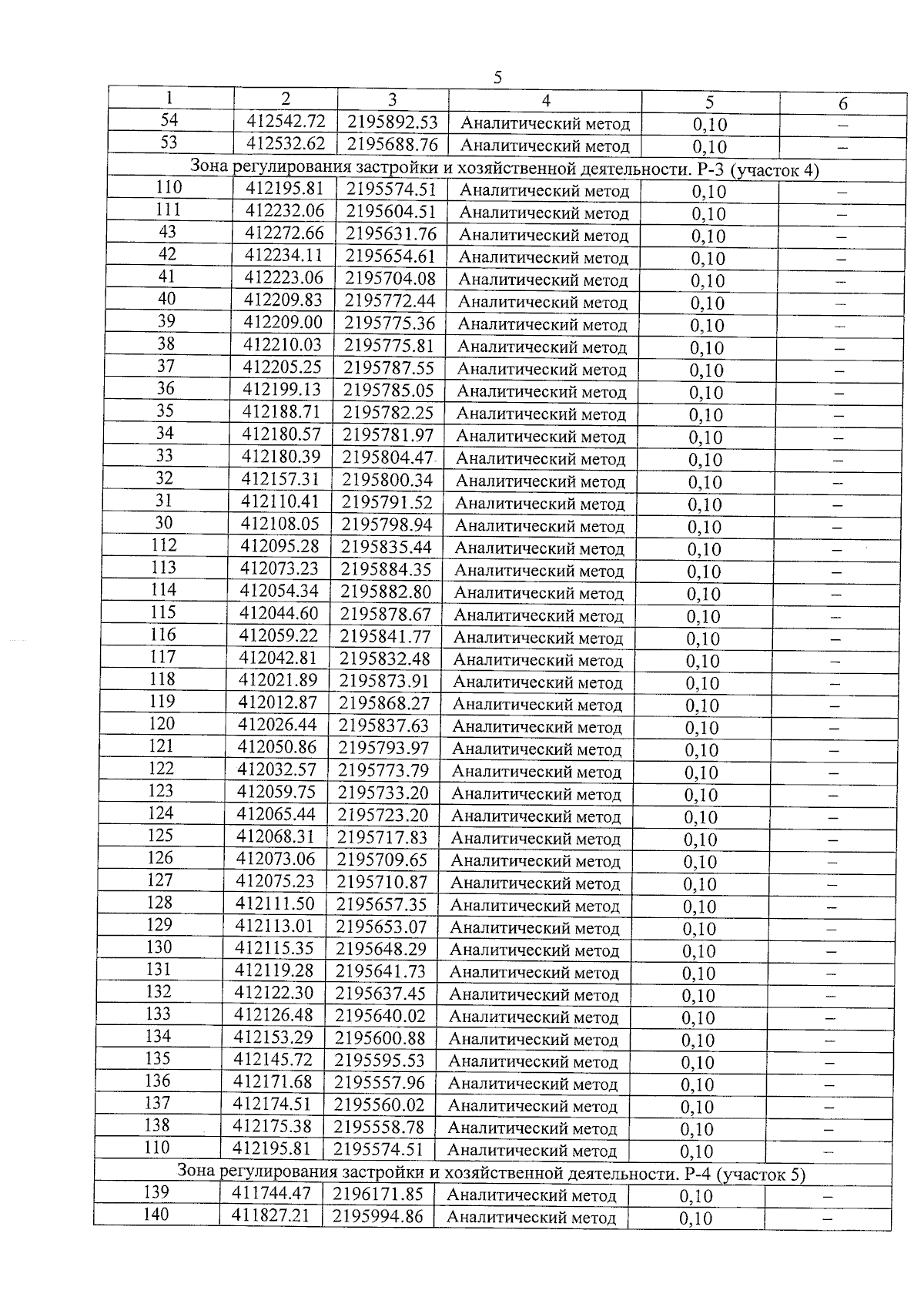
Постановление Правительства Московской области от 19.08.2024 № 884-ПП
"Об установлении зон охраны объекта культурного наследия регионального значения "Комплекс Московской окружной психиатрической лечебницы, 1902-1907 гг.: главный корпус с церковью Сергия; хозяйственный корпус с водонапорной башней; конюшня; хозяйственная постройка", расположенного по адресу: Московская область, городской округ Чехов, село Троицкое, и об утверждении требований к градостроительным регламентам в границах территорий данных зон"
Номер опубликования: 5000202408210004
Дата опубликования: 21.08.2024
Страница №20 из 26:
Увеличить