Постановление Правительства Московской области от 16.08.2024 № 874-ПП
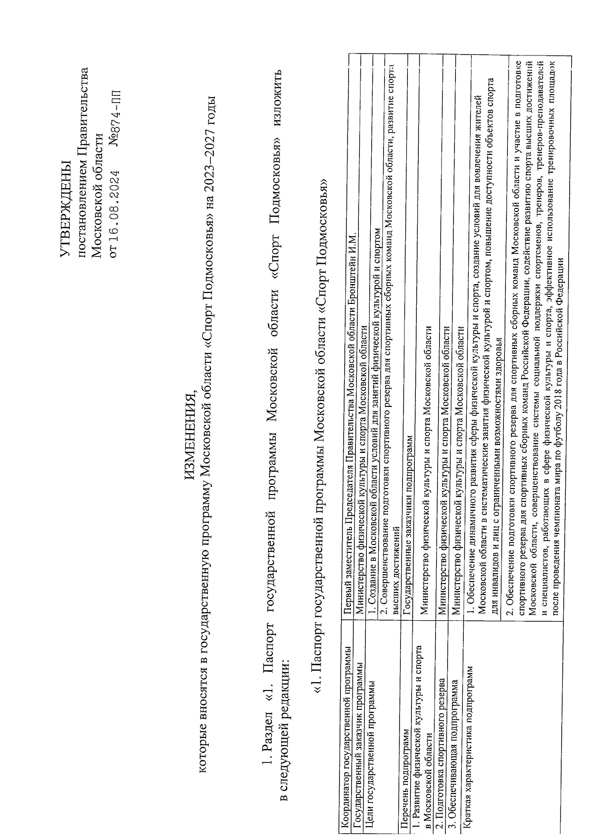
"О распределении бюджетных ассигнований бюджета Московской области и внесении изменений в постановление Правительства Московской области от 04.10.2022 № 1066/35 "О досрочном прекращении реализации государственной программы Московской области "Спорт Подмосковья" и утверждении государственной программы Московской области "Спорт Подмосковья" на 2023—2027 годы"
"О распределении бюджетных ассигнований бюджета Московской области и внесении изменений в постановление Правительства Московской области от 04.10.2022 № 1066/35 "О досрочном прекращении реализации государственной программы Московской области "Спорт Подмосковья" и утверждении государственной программы Московской области "Спорт Подмосковья" на 2023—2027 годы"
Номер опубликования: 5000202408160001
Дата опубликования:
16.08.2024
