Официальное опубликование правовых актов
ОФИЦИАЛЬНОЕ ОПУБЛИКОВАНИЕ
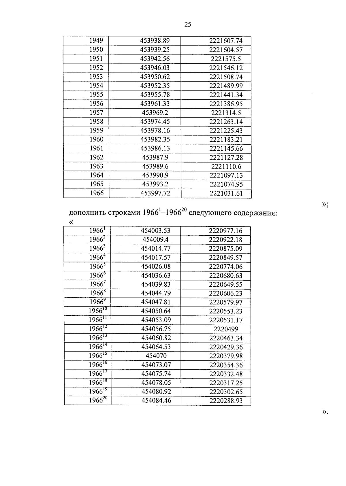
Закон Московской области от 11.07.2024 № 145/2024-ОЗ
"О внесении изменений в Закон Московской области "О границе городского округа Люберцы" и Закон Московской области "Об организации местного самоуправления на территории Раменского муниципального района"
Номер опубликования: 5000202407160004
Дата опубликования: 16.07.2024
Страница №25 из 26:
Увеличить