Официальное опубликование правовых актов
ОФИЦИАЛЬНОЕ ОПУБЛИКОВАНИЕ
Постановление Правительства Московской области от 17.05.2024 № 458-ПП
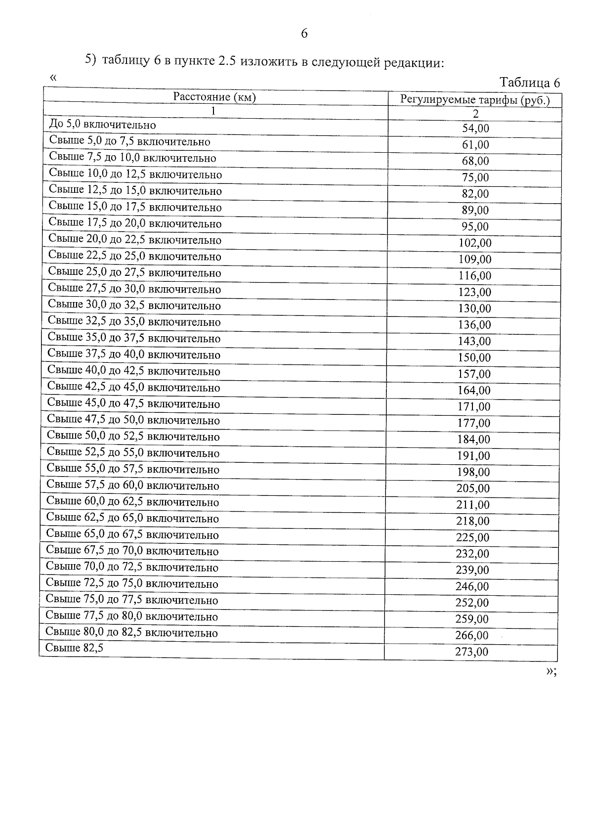
"О внесении изменений в регулируемые тарифы на перевозку пассажиров и багажа автомобильным транспортом и городским наземным электрическим транспортом по муниципальным, межмуниципальным маршрутам регулярных перевозок, по смежным межрегиональным маршрутам регулярных перевозок, в случае если начальные остановочные пункты расположены в границах Московской области"
Номер опубликования: 5000202405200001
Дата опубликования: 20.05.2024
Страница №8 из 22:
Увеличить