Официальное опубликование правовых актов
ОФИЦИАЛЬНОЕ ОПУБЛИКОВАНИЕ
Постановление Правительства Московской области от 14.02.2024 № 120-ПП
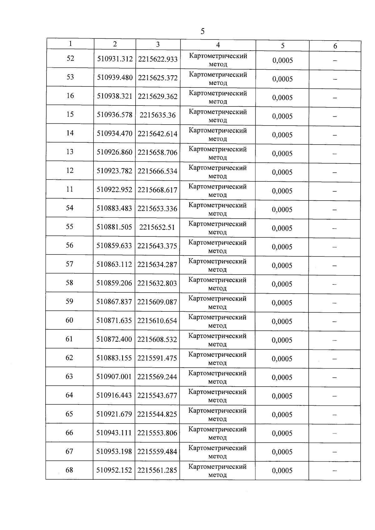
"Об установлении зон охраны объекта культурного наследия регионального значения "Вокзал железнодорожный, 1910 г.", расположенного по адресу: Московская область, Городской округ Пушкинский, рабочий поселок Софрино, улица Вокзальная, дом 6, и об утверждении требований к градостроительным регламентам в границах территорий данных зон"
Номер опубликования: 5000202402150007
Дата опубликования: 15.02.2024
Страница №16 из 21:
Увеличить