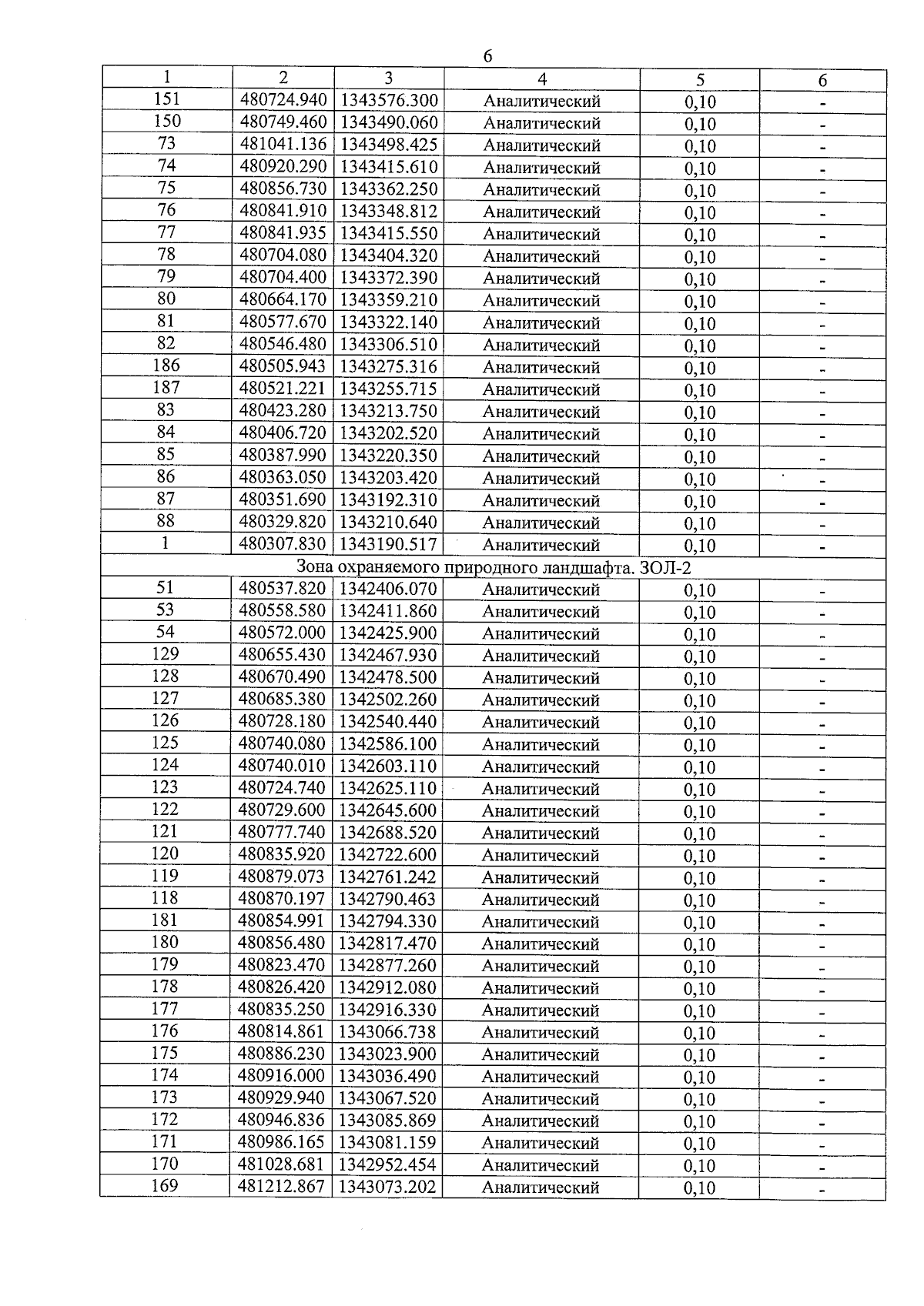
Постановление Правительства Московской области от 02.02.2024 № 77-ПП
"Об установлении зон охраны объекта культурного наследия регионального значения "Церковь Апостолов Петра и Павла, 1730-1734 гг., 1837-1842 гг.", расположенного по адресу: Московская область, городской округ Истра, деревня Лужки, и об утверждении требований к градостроительным регламентам в границах территорий данных зон"
"Об установлении зон охраны объекта культурного наследия регионального значения "Церковь Апостолов Петра и Павла, 1730-1734 гг., 1837-1842 гг.", расположенного по адресу: Московская область, городской округ Истра, деревня Лужки, и об утверждении требований к градостроительным регламентам в границах территорий данных зон"
Номер опубликования: 5000202402020004
Дата опубликования:
02.02.2024
