Официальное опубликование правовых актов
ОФИЦИАЛЬНОЕ ОПУБЛИКОВАНИЕ
Постановление Правительства Московской области от 18.10.2023 № 963-ПП
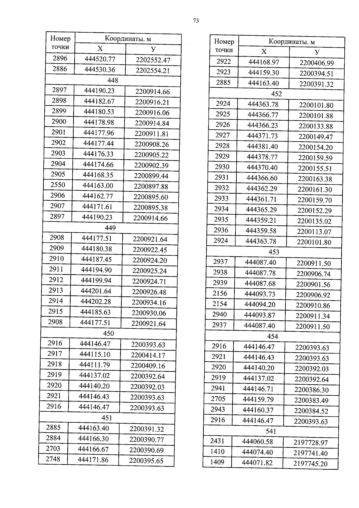
"О внесении изменений в постановление Правительства Московской области от 30.12.2020 № 1066/42 "Об утверждении документации по планировке территории для создания и эксплуатации сети автомобильных дорог общего пользования регионального значения Московской области "Солнцево – Бутово – Видное – Каширское шоссе – Молоково – Лыткарино – Томилино – Красково – Железнодорожный" на платной основе. Элемент 1. Участок автомобильной дороги от примыкания к автомобильной дороге Варшавское шоссе до примыкания к автомобильной дороге Каширское шоссе"
Номер опубликования: 5000202310180004
Дата опубликования: 18.10.2023
Страница №75 из 76:
Увеличить