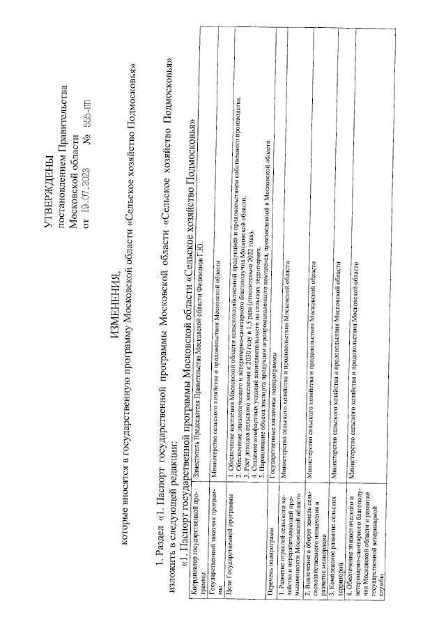
Постановление Правительства Московской области от 19.07.2023 № 555-ПП
"О внесении изменений в государственную программу Московской области "Сельское хозяйство Подмосковья"
"О внесении изменений в государственную программу Московской области "Сельское хозяйство Подмосковья"
Номер опубликования: 5000202307250003
Дата опубликования:
25.07.2023
