Официальное опубликование правовых актов
ОФИЦИАЛЬНОЕ ОПУБЛИКОВАНИЕ
Постановление Правительства Московской области от 21.06.2023 № 415-ПП
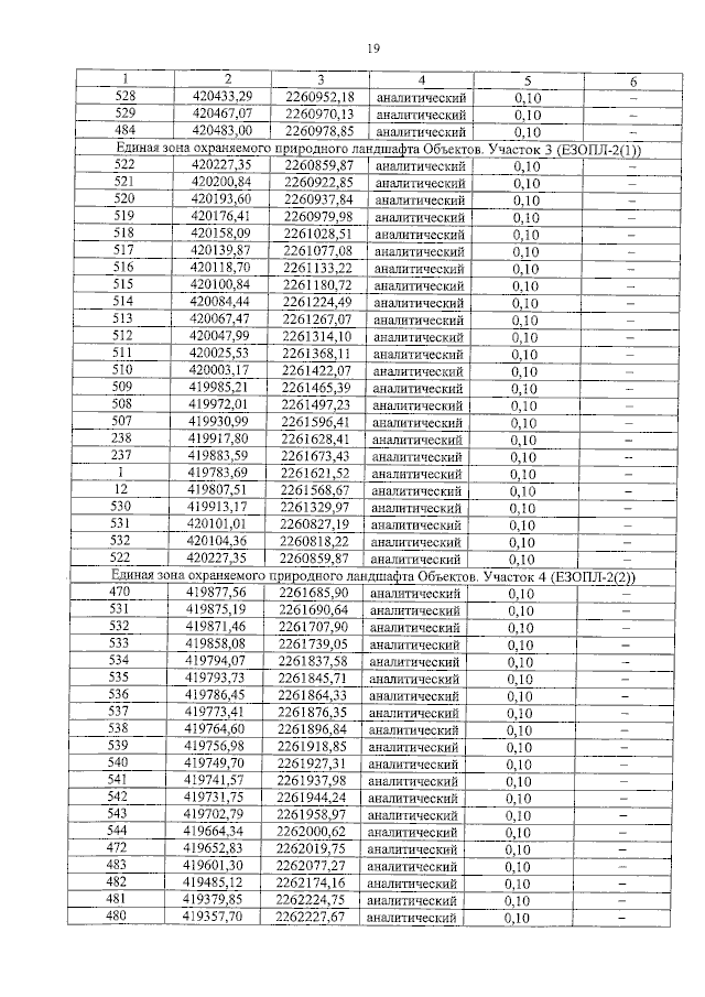
"Об установлении объединенной зоны охраны объектов культурного наследия федерального значения "Усадьба "Кривякино", XVIII-XIX вв.", расположенного по адресу: Московская область, городской округ Воскресенск, город Воскресенск, улица Лермонтова, дом 5, и регионального значения "Церковь Иоанна Златоуста, 1761 г.", расположенного по адресу: Московская область, городской округ Воскресенск, город Воскресенск, улица Новлянская, дом 14, и об утверждении требований к градостроительным регламентам в границе территории данной зоны"
Номер опубликования: 5000202306220004
Дата опубликования: 22.06.2023
Страница №55 из 61:
Увеличить