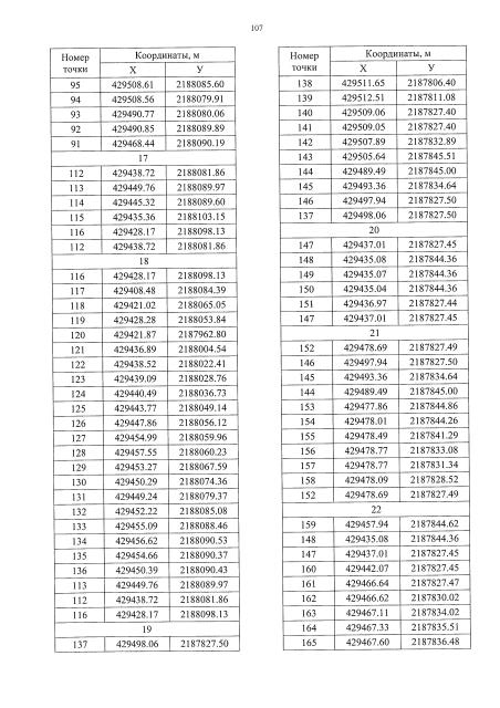
Постановление Правительства Московской области от 03.04.2023 № 173-ПП
"О внесении изменений в постановление Правительства Московской области от 09.09.2013 № 714/37 "Об утверждении проекта планировки территории для строительства автомобильной дороги "Южный обход г. Подольска" в Подольском муниципальном районе, городском округе Климовск Московской области"
"О внесении изменений в постановление Правительства Московской области от 09.09.2013 № 714/37 "Об утверждении проекта планировки территории для строительства автомобильной дороги "Южный обход г. Подольска" в Подольском муниципальном районе, городском округе Климовск Московской области"
Номер опубликования: 5000202304040005
Дата опубликования:
04.04.2023
