Официальное опубликование правовых актов
ОФИЦИАЛЬНОЕ ОПУБЛИКОВАНИЕ
Постановление Правительства Московской области от 21.12.2022 № 1431/46
"О внесении изменений в постановление Правительства Московской области от 29.04.2014 № 298/14 "Об утверждении проекта планировки территории для строительства логистического технопарка "Софьино" в сельском поселении Софьинское Раменского муниципального района Московской области"
Номер опубликования: 5000202212230004
Дата опубликования: 23.12.2022
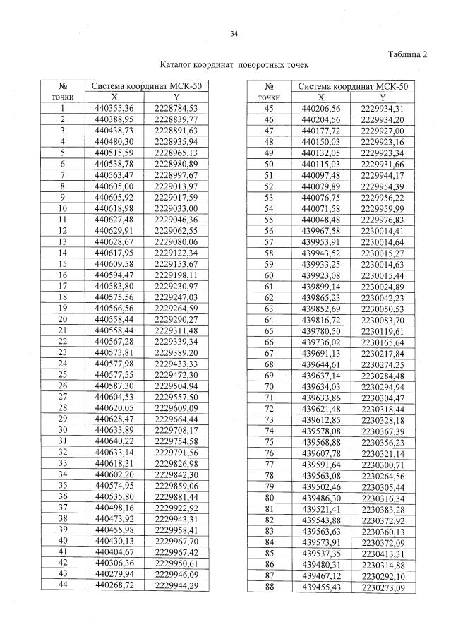
Страница №36 из 38:
Увеличить