Официальное опубликование правовых актов
ОФИЦИАЛЬНОЕ ОПУБЛИКОВАНИЕ
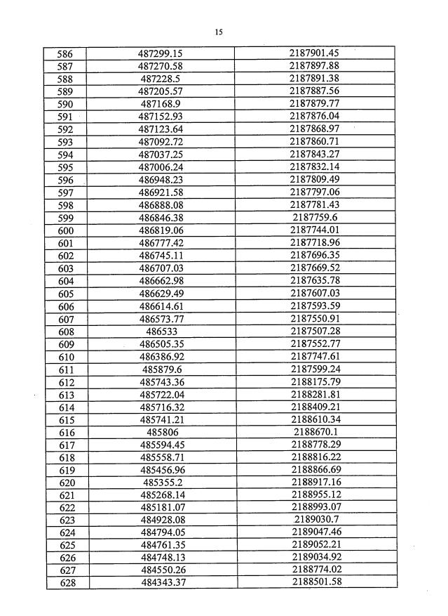
Закон Московской области от 19.09.2022 № 151/2022-ОЗ
"О внесении изменений в Закон Московской области "О границе городского округа Солнечногорск" и Закон Московской области О статусе и границе городского округа Химки"
Номер опубликования: 5000202209200001
Дата опубликования: 20.09.2022
Страница №82 из 155:
Увеличить