Официальное опубликование правовых актов
ОФИЦИАЛЬНОЕ ОПУБЛИКОВАНИЕ
Постановление Правительства Московской области от 20.01.2022 № 14/1
"Об утверждении документации по планировке территории для реконструкции транспортной развязки на пересечении М-10 "Россия", Международного шоссе и Машкинского шоссе в городском округе Химки."
Номер опубликования: 5000202201210002
Дата опубликования: 21.01.2022
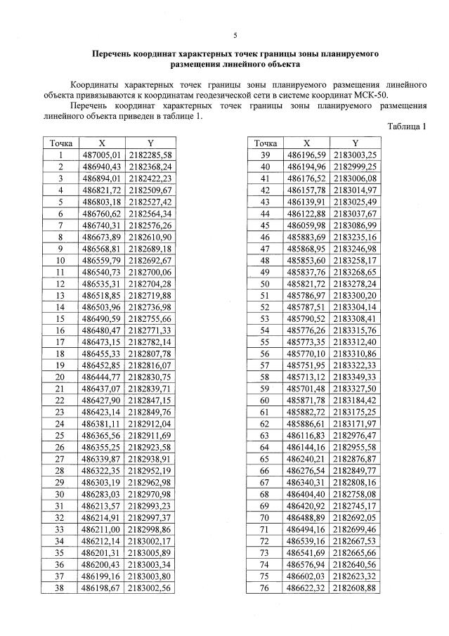
Страница №7 из 102:
Увеличить