Официальное опубликование правовых актов
ОФИЦИАЛЬНОЕ ОПУБЛИКОВАНИЕ
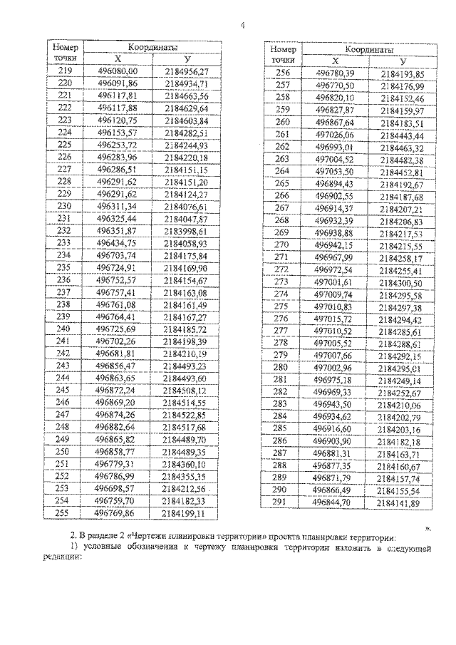
Постановление Правительства Московской области от 25.11.2021 № 1209/39
"Об утверждении изменений в проект планировки территории для реконструкции линейного объекта: нефтепродуктопровода (топливопровода) "Центральная заправочная станция в городском округе Химки – базовый склад горюче-смазочных материалов в городском округе Лобня Московской области"
Номер опубликования: 5000202111290001
Дата опубликования: 29.11.2021
Страница №6 из 49:
Увеличить