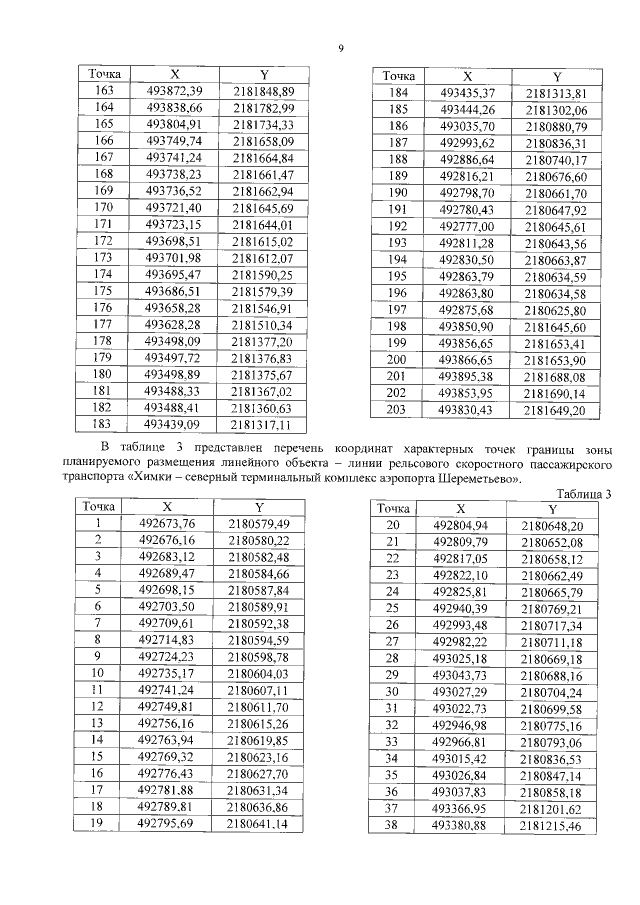
Постановление Правительства Московской области от 27.10.2021 № 1090/37
"Об утверждении документации по планировке территории для реконструкции Шереметьевского шоссе"
"Об утверждении документации по планировке территории для реконструкции Шереметьевского шоссе"
Номер опубликования: 5000202111030001
Дата опубликования:
03.11.2021
