Официальное опубликование правовых актов
ОФИЦИАЛЬНОЕ ОПУБЛИКОВАНИЕ
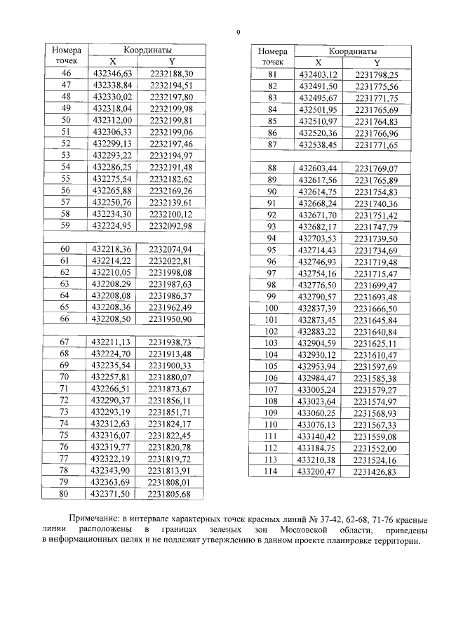
Постановление Правительства Московской области от 22.10.2021 № 1057/36
"Об утверждении документации по планировке территории для строительства автомобильной дороги "Подъезд к земельным участкам для многодетных семей" в Раменском городском округе, городском округе Бронницы Московской области"
Номер опубликования: 5000202110270005
Дата опубликования: 27.10.2021
Страница №11 из 40:
Увеличить