Официальное опубликование правовых актов
ОФИЦИАЛЬНОЕ ОПУБЛИКОВАНИЕ
Постановление Правительства Московской области от 21.09.2021 № 874/31
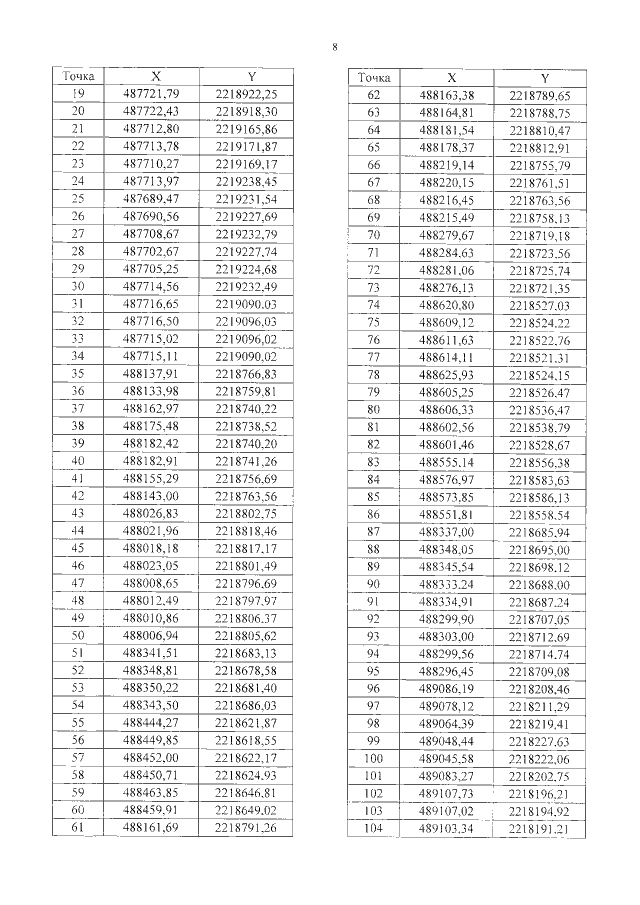
"Об утверждении проекта планировки территории для реконструкции участка автомобильной дороги регионального значения М-8 "Холмогоры" –Ивантеевка – Щелково от улицы Браварская до автомобильной дороги Щелково – Фряново в городе Щелково Московской области"
Номер опубликования: 5000202109270005
Дата опубликования: 27.09.2021
Страница №10 из 35:
Увеличить