Официальное опубликование правовых актов
ОФИЦИАЛЬНОЕ ОПУБЛИКОВАНИЕ
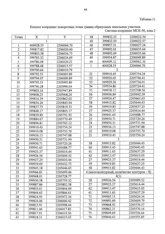
Постановление Правительства Московской области от 17.09.2021 № 871/31
"Об утверждении документации по планировке территории для строительства подъездной автомобильной дороги к ассоциации садоводческих некоммерческих товариществ "Полушкинская поляна" в городских округах Домодедово и Ступино Московской области"
Номер опубликования: 5000202109200001
Дата опубликования: 20.09.2021
Страница №46 из 62:
Увеличить