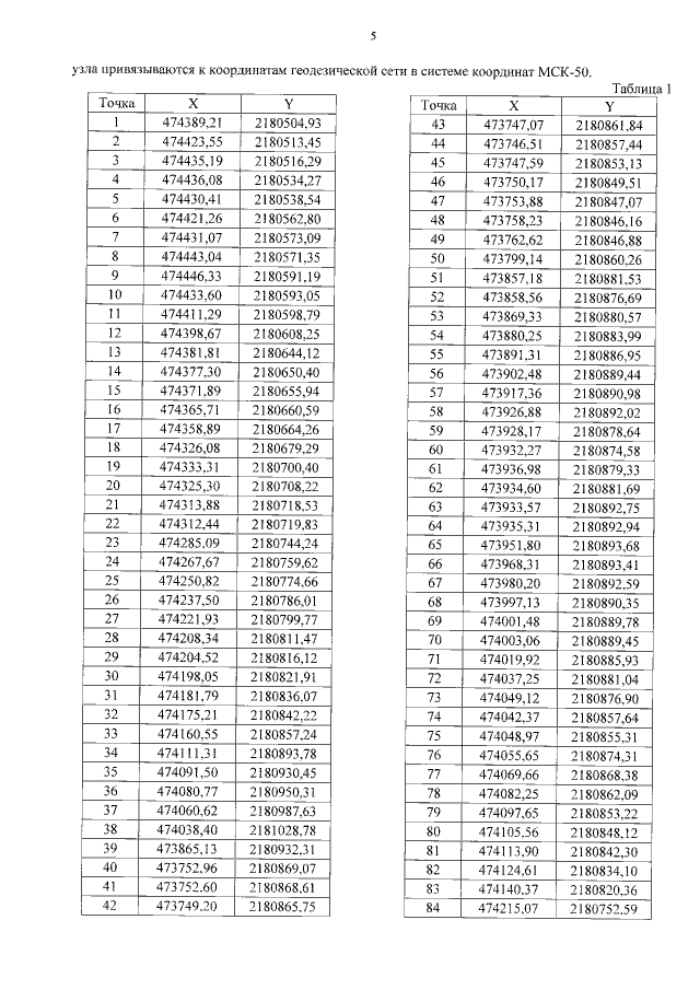
Официальное опубликование правовых актов
ОФИЦИАЛЬНОЕ ОПУБЛИКОВАНИЕ
Постановление Правительства Московской области от 14.07.2021 № 572/21
"Об утверждении документации по планировке территории для строительства ТПУ станции/метро (ТПУ) 61-62 км МКАД с транспортными подходами в Одинцовском городском округе Московской области"
Номер опубликования: 5000202107160002
Дата опубликования: 16.07.2021
Страница №7 из 117:
Увеличить