Официальное опубликование правовых актов
ОФИЦИАЛЬНОЕ ОПУБЛИКОВАНИЕ
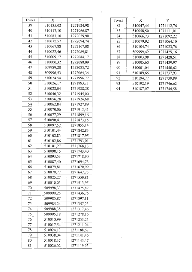
Постановление Правительства Московской области от 12.02.2021 № 89/4
"Об утверждении проекта планировки территории для реконструкции пересечения автомобильных дорог регионального значения Лотошино - Суворово - Клин и Ярополец - Мусино -Телегино в селе Ярополец Волоколамского городского округа Московской области"
Номер опубликования: 5000202102190001
Дата опубликования: 19.02.2021
Страница №10 из 17:
Увеличить