Официальное опубликование правовых актов
ОФИЦИАЛЬНОЕ ОПУБЛИКОВАНИЕ
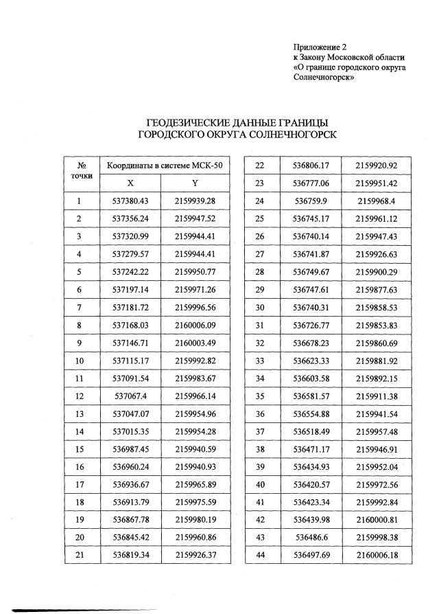
Закон Московской области от 27.03.2019 № 38/2019-ОЗ
"О границе городского округа Солнечногорск"
Номер опубликования: 5000201904010002
Дата опубликования: 01.04.2019
Страница №20 из 117:
Увеличить