Официальное опубликование правовых актов
ОФИЦИАЛЬНОЕ ОПУБЛИКОВАНИЕ
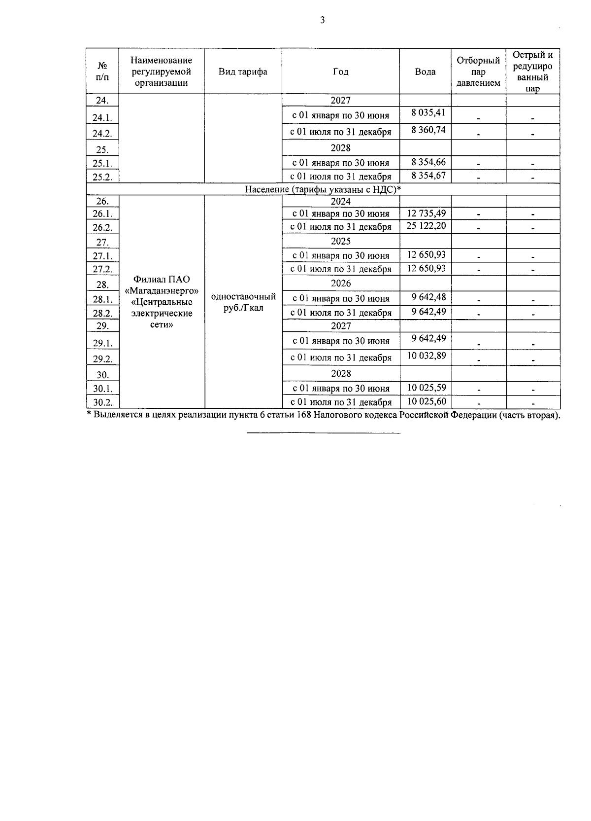
Приказ Департамента цен и тарифов Магаданской области от 20.06.2025 № 10-2/э
"Об установлении тарифов на тепловую энергию (мощность), поставляемую потребителям ПАО "Магаданэнерго", на 2024-2028 годы"
(Зарегистрирован 26.06.2025 № 107-гр)
Номер опубликования: 4901202506270002
Дата опубликования: 27.06.2025
Страница №5 из 6:
Увеличить