Официальное опубликование правовых актов
ОФИЦИАЛЬНОЕ ОПУБЛИКОВАНИЕ
Приказ Департамента цен и тарифов Магаданской области от 20.12.2023 № 2-ЖКК/57-1
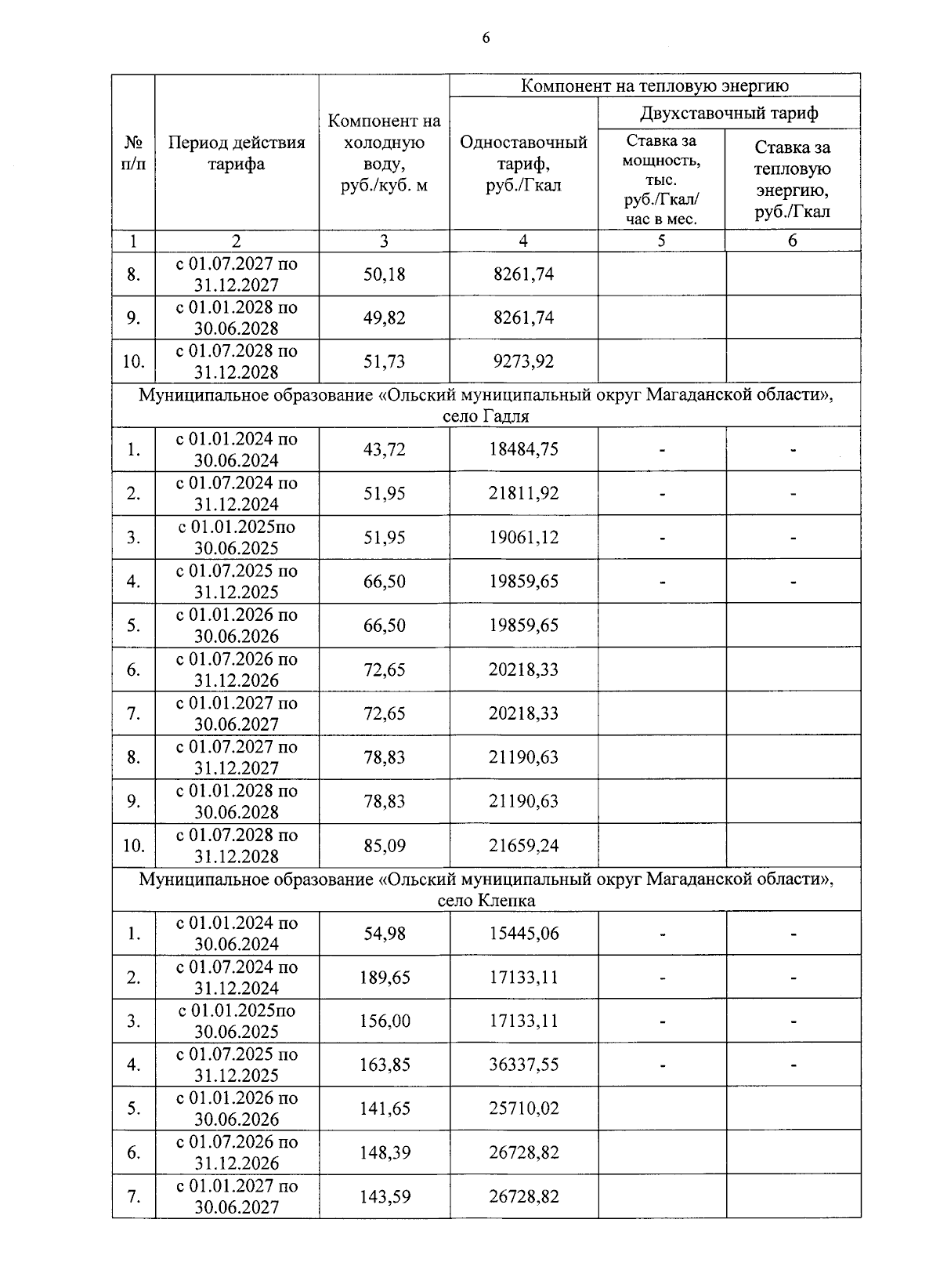
"Об установлении тарифов на горячее водоснабжение в закрытой системе горячего водоснабжения для потребителей Муниципального унитарного предприятия муниципального образования "Ольский муниципальный округ Магаданской области" "Ола-Электротеплосеть" на 2024-2028 годы, утверждении производственной программы Муниципального унитарного предприятия муниципального образования "Ольский муниципальный округ Магаданской области" "Ола-Электротеплосеть" в сфере горячего водоснабжения на 2024-2028 годы"
(Зарегистрирован 29.12.2023 № 321-гр)
Номер опубликования: 4901202312290005
Дата опубликования: 29.12.2023
Страница №6 из 28:
Увеличить