Официальное опубликование правовых актов
ОФИЦИАЛЬНОЕ ОПУБЛИКОВАНИЕ
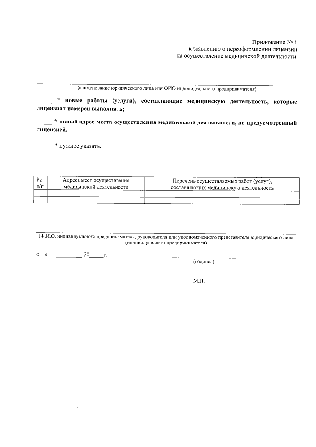
Приказ Министерства здравоохранения и демографической политики Магаданской области от 15.03.2021 № 136/03
"Об утверждении форм документов, используемых при лицензировании"
Номер опубликования: 4901202103190003
Дата опубликования: 19.03.2021
Страница №18 из 66:
Увеличить