Постановление Правительства Магаданской области от 27.02.2026 № 91-пп
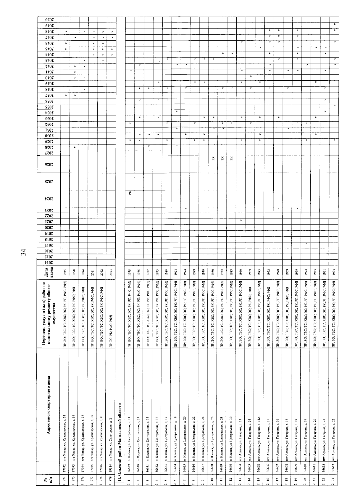
"О внесении изменения в постановление Правительства Магаданской области от 29 мая 2014 г. № 455-пп "Об утверждении региональной программы "Капитальный ремонт общего имущества многоквартирных домов, расположенных на территории Магаданской области" на период по 2050 год"
"О внесении изменения в постановление Правительства Магаданской области от 29 мая 2014 г. № 455-пп "Об утверждении региональной программы "Капитальный ремонт общего имущества многоквартирных домов, расположенных на территории Магаданской области" на период по 2050 год"
Номер опубликования: 4900202603020003
Дата опубликования:
02.03.2026
