Официальное опубликование правовых актов
ОФИЦИАЛЬНОЕ ОПУБЛИКОВАНИЕ
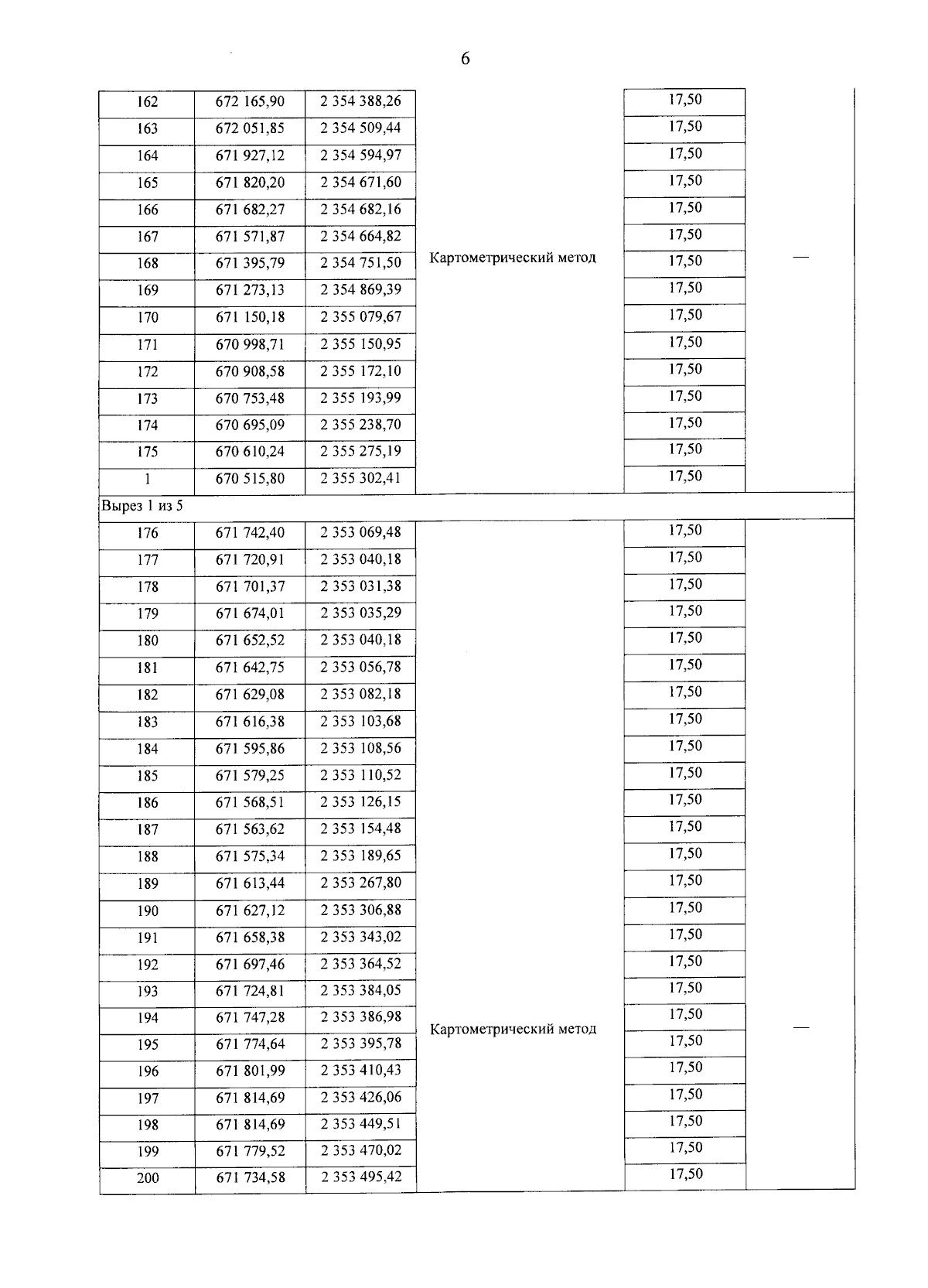
Постановление Правительства Магаданской области от 05.02.2026 № 50-пп
"О внесении изменений в постановление Правительства Магаданской области от 9 февраля 2023 г. № 66-пп "Об утверждении положений о памятниках природы регионального значения Магаданской области"
Номер опубликования: 4900202602090002
Дата опубликования: 09.02.2026
Страница №61 из 96:
Увеличить