Официальное опубликование правовых актов
ОФИЦИАЛЬНОЕ ОПУБЛИКОВАНИЕ
Постановление Правительства Магаданской области от 22.08.2025 № 423-пп
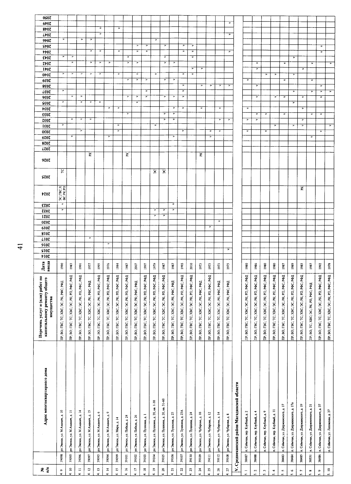
"О внесении изменения в постановление Правительства Магаданской области от 29 мая 2014 г. № 455-пп "Об утверждении региональной программы "Капитальный ремонт общего имущества многоквартирных домов, расположенных на территории Магаданской области" на период по 2050 год"
Номер опубликования: 4900202508260005
Дата опубликования: 26.08.2025
Страница №42 из 54:
Увеличить