Постановление Правительства Магаданской области от 09.06.2025 № 273-пп
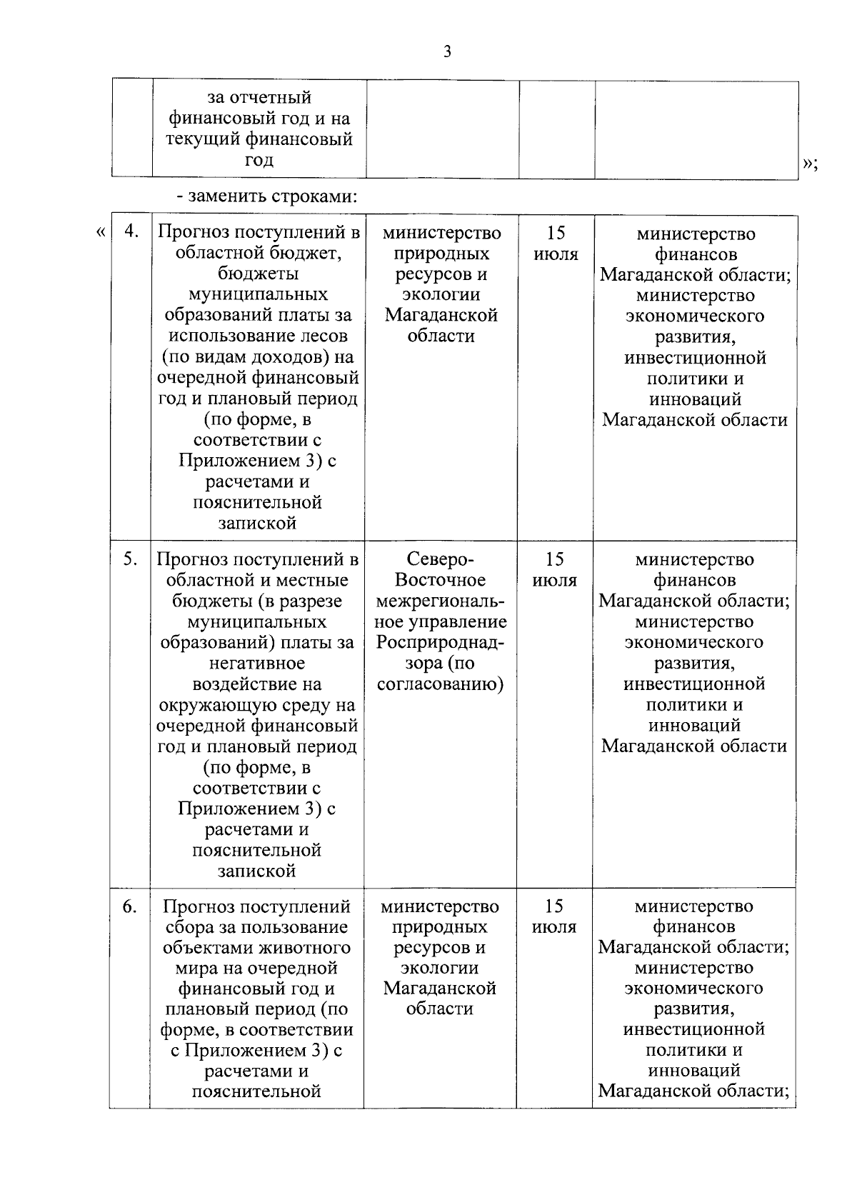
"О внесении изменений в постановление Правительства Магаданской области от 26 февраля 2014 г. № 174-пп "Об утверждении Порядка составления проекта закона Магаданской области об областном бюджете на очередной финансовый год и плановый период"
"О внесении изменений в постановление Правительства Магаданской области от 26 февраля 2014 г. № 174-пп "Об утверждении Порядка составления проекта закона Магаданской области об областном бюджете на очередной финансовый год и плановый период"
Номер опубликования: 4900202506090009
Дата опубликования:
09.06.2025
