Официальное опубликование правовых актов
ОФИЦИАЛЬНОЕ ОПУБЛИКОВАНИЕ
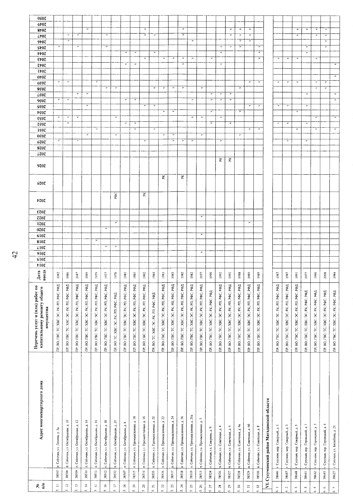
Постановление Правительства Магаданской области от 02.09.2024 № 427-пп
"О внесении изменения в постановление Правительства Магаданской области от 29 мая 2014 г. № 455-пп "Об утверждении Региональной программы "Капитальный ремонт общего имущества многоквартирных домов, расположенных на территории Магаданской области" на период по 2050 год"
Номер опубликования: 4900202409030004
Дата опубликования: 03.09.2024
Страница №43 из 53:
Увеличить