Официальное опубликование правовых актов
ОФИЦИАЛЬНОЕ ОПУБЛИКОВАНИЕ
Постановление Правительства Магаданской области от 16.11.2023 № 775-пп
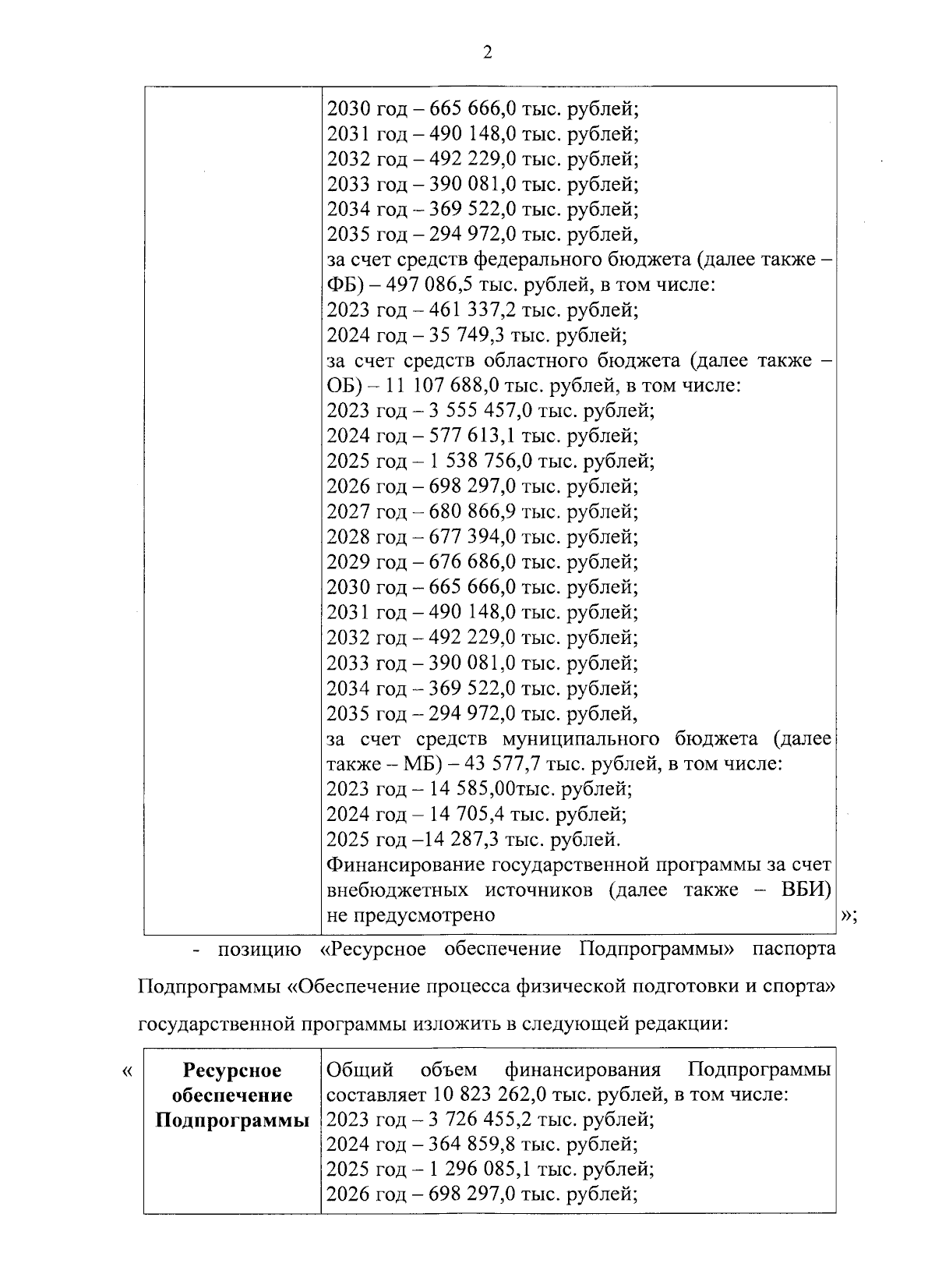
"О внесении изменений в постановление Правительства Магаданской области от 01 июня 2022 г. № 484-пп "Об утверждении государственной программы Магаданской области "Развитие физической культуры и спорта в Магаданской области"
Номер опубликования: 4900202311200012
Дата опубликования: 20.11.2023
Страница №2 из 17:
Увеличить