Официальное опубликование правовых актов
ОФИЦИАЛЬНОЕ ОПУБЛИКОВАНИЕ
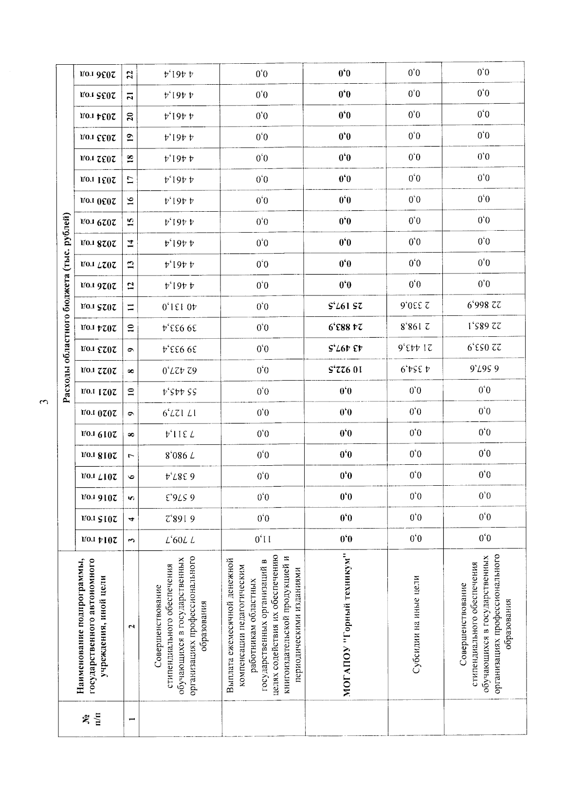
Постановление Правительства Магаданской области от 08.09.2023 № 607-пп
"О внесении изменений в постановление администрации Магаданской области от 28 ноября 2013 г. № 1179-па "Об утверждении государственной программы Магаданской области "Развитие образования в Магаданской области"
Номер опубликования: 4900202309120016
Дата опубликования: 12.09.2023
Страница №29 из 589:
Увеличить