Официальное опубликование правовых актов
ОФИЦИАЛЬНОЕ ОПУБЛИКОВАНИЕ
Постановление Правительства Магаданской области от 29.12.2022 № 1124-пп
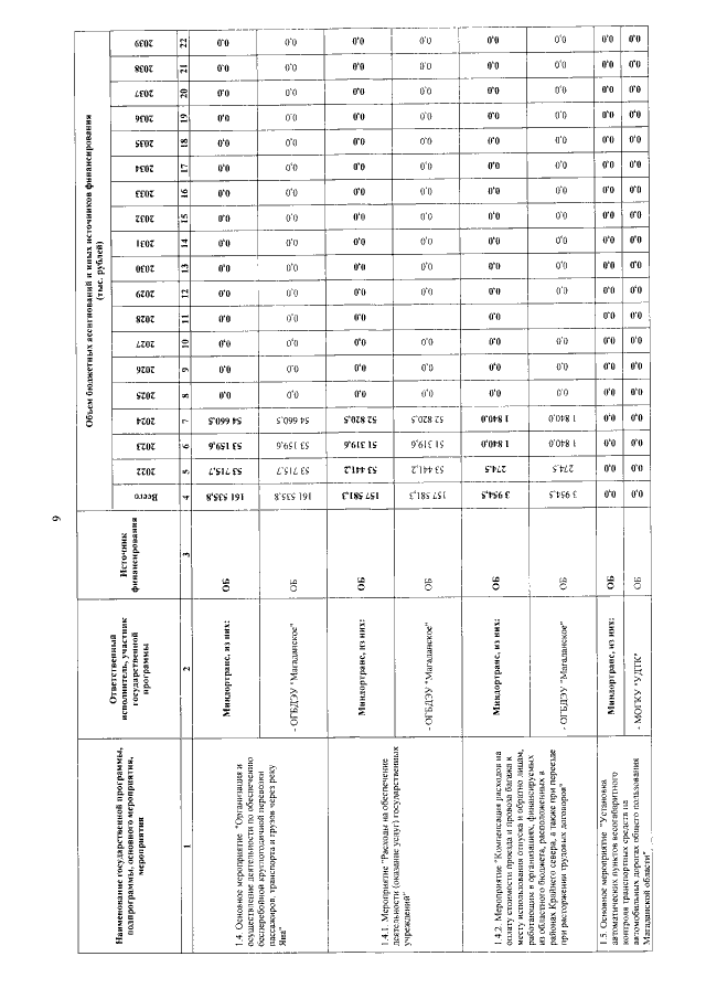
"О внесении изменений в постановление Правительства Магаданской области от 29 декабря 2021 г. № 1075-пп "Об утверждении государственной программы Магаданской области "Развитие транспортной системы в Магаданской области"
Номер опубликования: 4900202212300001
Дата опубликования: 30.12.2022
Страница №19 из 56:
Увеличить