Официальное опубликование правовых актов
ОФИЦИАЛЬНОЕ ОПУБЛИКОВАНИЕ
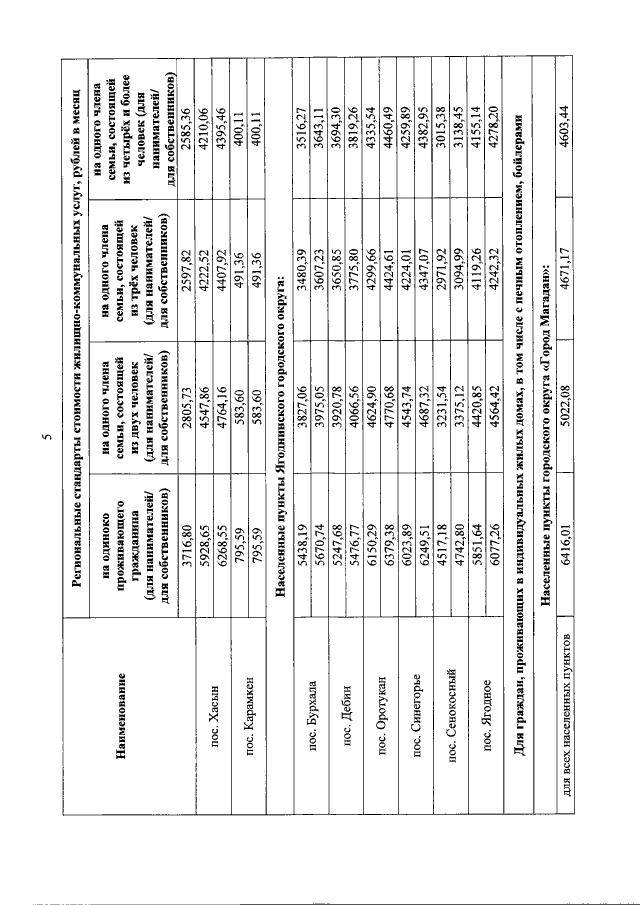
Постановление Правительства Магаданской области от 01.04.2021 № 251-пп
"О региональных стандартах стоимости жилищно-коммунальных услуг в 2021 году"
Номер опубликования: 4900202104020001
Дата опубликования: 02.04.2021
Страница №6 из 13:
Увеличить