Официальное опубликование правовых актов
ОФИЦИАЛЬНОЕ ОПУБЛИКОВАНИЕ
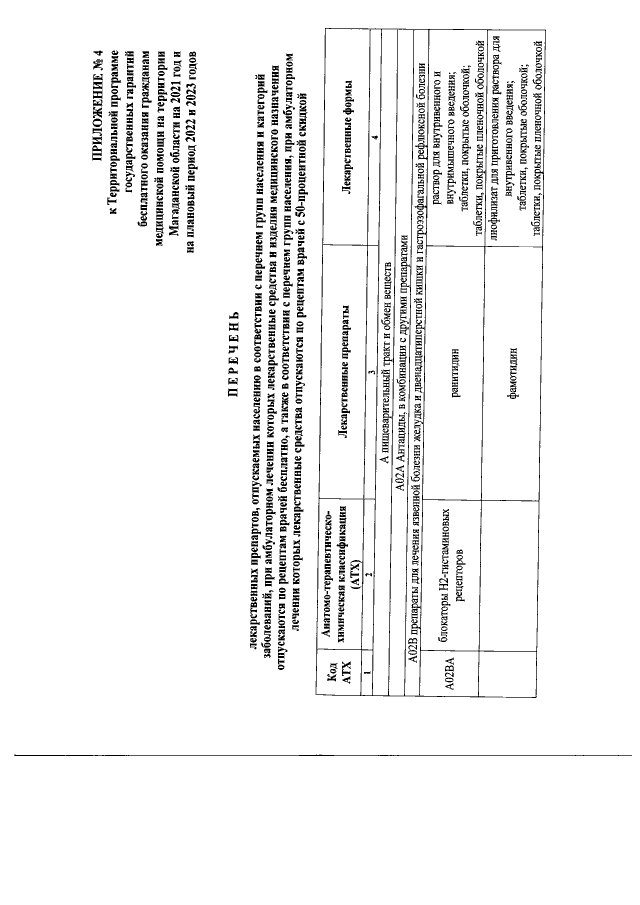
Постановление Правительства Магаданской области от 28.12.2020 № 958-пп
"О Территориальной программе государственных гарантий бесплатного оказания гражданам медицинской помощи на территории Магаданской области на 2021 год и на плановый период 2022 и 2023 годов"
Номер опубликования: 4900202012290009
Дата опубликования: 29.12.2020
Страница №152 из 252:
Увеличить