Официальное опубликование правовых актов
ОФИЦИАЛЬНОЕ ОПУБЛИКОВАНИЕ
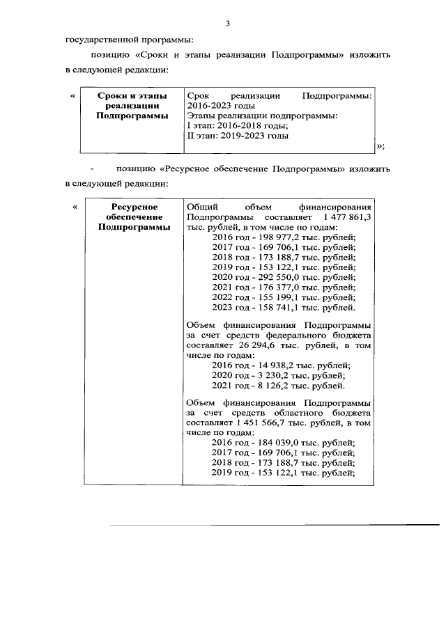
Постановление Правительства Магаданской области от 09.12.2020 № 830-пп
"О внесении изменений в постановление администрации Магаданской области от 31 октября 2013 г. № 1050-па "Об утверждении государственной программы Магаданской области "Развитие информационного общества в Магаданской области"
Номер опубликования: 4900202012110008
Дата опубликования: 11.12.2020
Страница №3 из 16:
Увеличить