Официальное опубликование правовых актов
ОФИЦИАЛЬНОЕ ОПУБЛИКОВАНИЕ
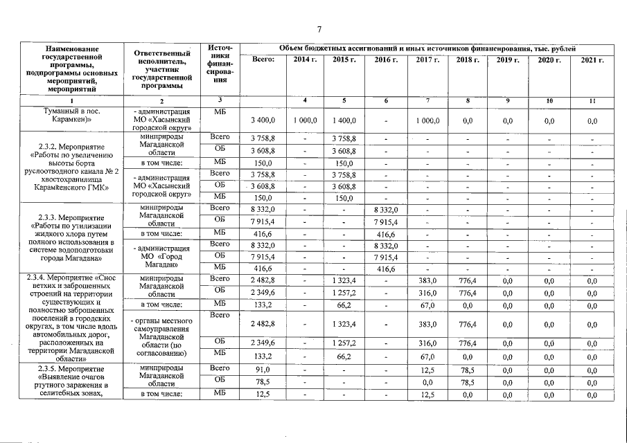
Постановление Правительства Магаданской области от 14.06.2019 № 422-пп "О внесении изменений в постановление администрации Магаданской области от 07 ноября 2013 г. № 1083-па "Об утверждении государственной программы Магаданской области "Природные ресурсы и экология Магаданской области" на 2014-2021 годы"
Номер опубликования: 4900201906170020
Дата опубликования: 17.06.2019
Страница №76 из 93:
Увеличить