Официальное опубликование правовых актов
ОФИЦИАЛЬНОЕ ОПУБЛИКОВАНИЕ
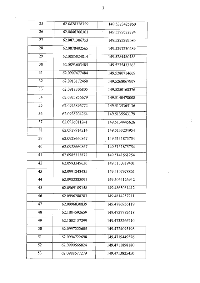
Постановление Правительства Магаданской области от 14.06.2019 № 423-пп "Об утверждении положений о памятниках природы регионального значения Магаданской области"
Номер опубликования: 4900201906170011
Дата опубликования: 17.06.2019
Страница №11 из 155:
Увеличить