Официальное опубликование правовых актов
ОФИЦИАЛЬНОЕ ОПУБЛИКОВАНИЕ
Постановление Правительства Магаданской области от 28.12.2018 № 907-пп
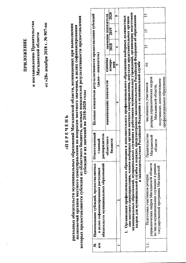
"О внесении изменений в постановление Правительства Магаданской области от 29 декабря 2017 г. № 1119-пп "Об утверждении Перечня расходных обязательств муниципальных образований Магаданской области, возникающих при выполнении полномочий органов местного самоуправления по вопросам местного значения, в целях софинансирования которых предоставляются субсидии из областного бюджета, целевых показателей результативности предоставления субсидий и их значений на 2018-2020 годы"
Номер опубликования: 4900201901040006
Дата опубликования: 04.01.2019
Страница №3 из 30:
Увеличить