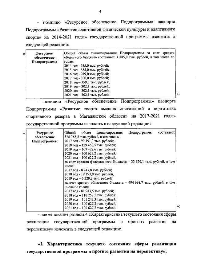
Постановление Правительства Магаданской области от 27.12.2018 № 900-пп
"О внесении изменений в постановление администрации Магаданской области от 14 ноября 2013 г. № 1126-па "Об утверждении государственной программы Магаданской области "Развитие физической культуры и спорта в Магаданской области" на 2014-2021 годы"
"О внесении изменений в постановление администрации Магаданской области от 14 ноября 2013 г. № 1126-па "Об утверждении государственной программы Магаданской области "Развитие физической культуры и спорта в Магаданской области" на 2014-2021 годы"
Номер опубликования: 4900201812290033
Дата опубликования:
29.12.2018
