Официальное опубликование правовых актов
ОФИЦИАЛЬНОЕ ОПУБЛИКОВАНИЕ
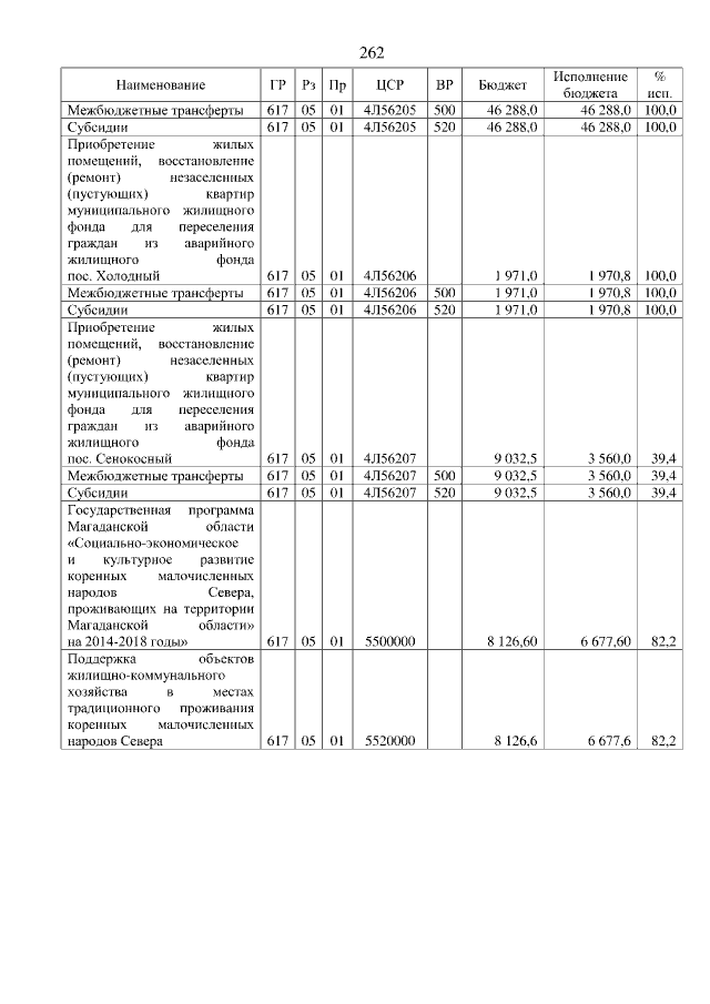
Закон Магаданской области от 03.06.2016 № 2044-ОЗ
"Об исполнении областного бюджета за 2015 год"
Номер опубликования: 4900201606060010
Дата опубликования: 06.06.2016
Страница №262 из 326:
Увеличить