Официальное опубликование правовых актов
ОФИЦИАЛЬНОЕ ОПУБЛИКОВАНИЕ
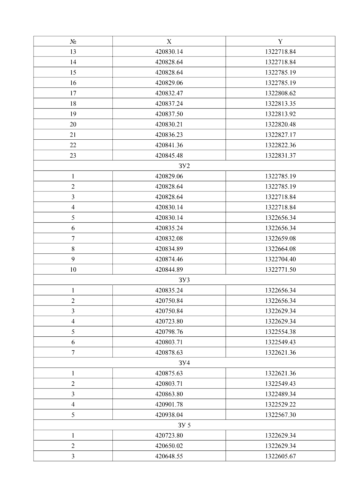
Приказ министерства строительства и архитектуры Липецкой области от 23.03.2026 № 59 "О внесении изменений в приказ управления строительства и архитектуры Липецкой области от 05.06.2024 № 214 "Об утверждении документации по планировке территории (проект планировки и проект межевания) в районе улиц Совхозная, Боевой проезд, Агрономическая в городе Липецке"
Номер опубликования: 4801202603260003
Дата опубликования: 26.03.2026
Страница №22 из 30:
Увеличить