Официальное опубликование правовых актов
ОФИЦИАЛЬНОЕ ОПУБЛИКОВАНИЕ
Постановление министерства энергетики и тарифов Липецкой области от 17.12.2025 № 52/22
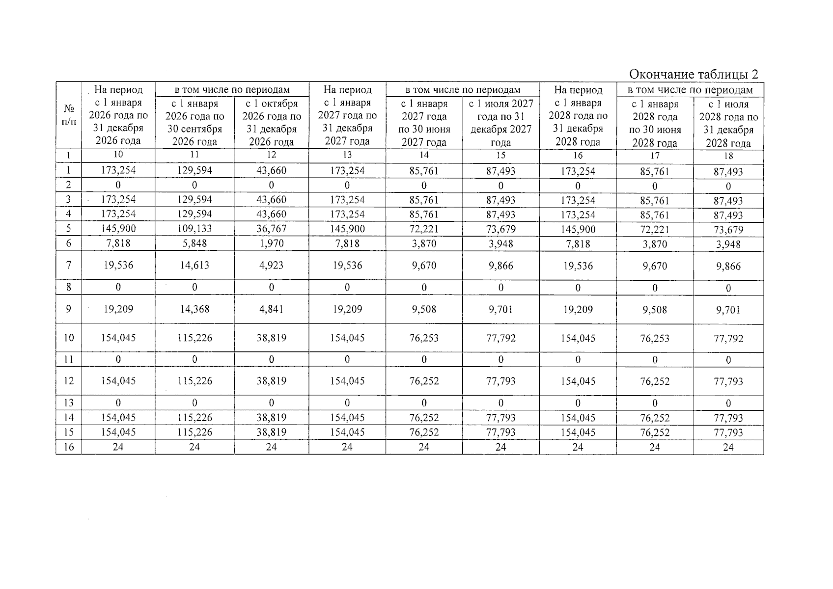
"О внесении изменений в постановление управления энергетики и тарифов Липецкой области от 14 декабря 2023 года № 64/27 "О тарифах на водоотведение и долгосрочных параметрах регулирования МУП "Липецкий районный водоканал" (ИНН 4813030305) на 2024-2028 годы"
(Зарегистрирован 18.12.2025 № ГР-417)
Номер опубликования: 4801202512190009
Дата опубликования: 19.12.2025
Страница №6 из 21:
Увеличить