Официальное опубликование правовых актов
ОФИЦИАЛЬНОЕ ОПУБЛИКОВАНИЕ
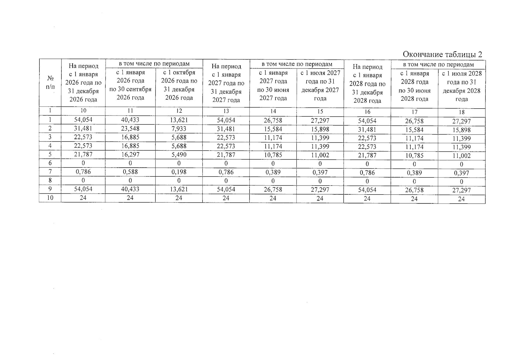
Постановление министерства энергетики и тарифов Липецкой области от 17.12.2025 № 52/27
"О внесении изменений в постановление управления энергетики и тарифов Липецкой области от 13 декабря 2023 года № 63/3 "О тарифах на водоотведение и долгосрочных параметрах регулирования АО "ЛИМАК" (филиал "Подгоренский мукомольный завод") (ИНН 4826004888) на 2024-2028 годы"
(Зарегистрирован 18.12.2025 № ГР-425)
Номер опубликования: 4801202512190001
Дата опубликования: 19.12.2025
Страница №4 из 9:
Увеличить