Официальное опубликование правовых актов
ОФИЦИАЛЬНОЕ ОПУБЛИКОВАНИЕ
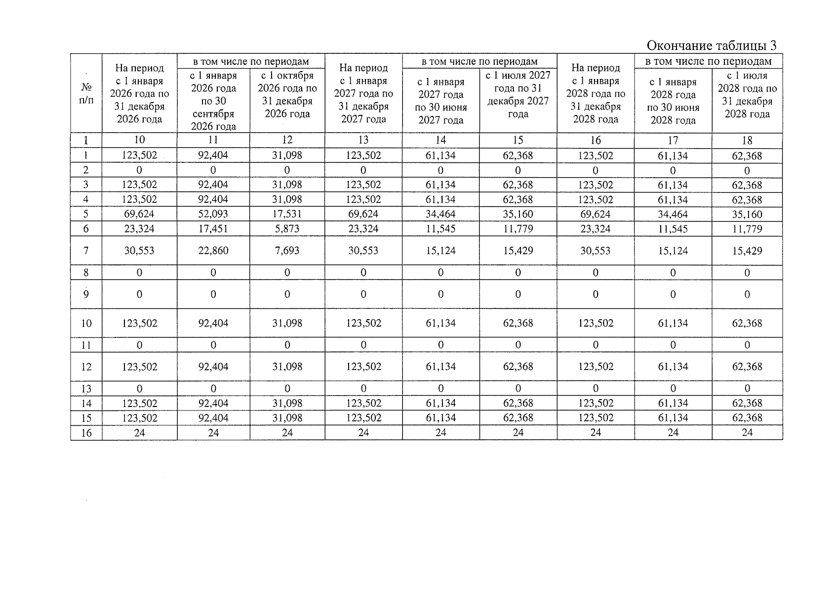
Постановление министерства энергетики и тарифов Липецкой области от 16.12.2025 № 51/4
"О внесении изменений в постановление управления энергетики и тарифов Липецкой области от 14 декабря 2023 года № 64/25 "О тарифах на водоотведение и долгосрочных параметрах регулирования МУП "Лев-Толстовский водоканал" (ИНН 4812005480) на 2024-2028 годы"
(Зарегистрирован 17.12.2025 № ГР-379)
Номер опубликования: 4801202512170047
Дата опубликования: 17.12.2025
Страница №5 из 10:
Увеличить