Официальное опубликование правовых актов
ОФИЦИАЛЬНОЕ ОПУБЛИКОВАНИЕ
Постановление министерства энергетики и тарифов Липецкой области от 16.12.2025 № 51/5
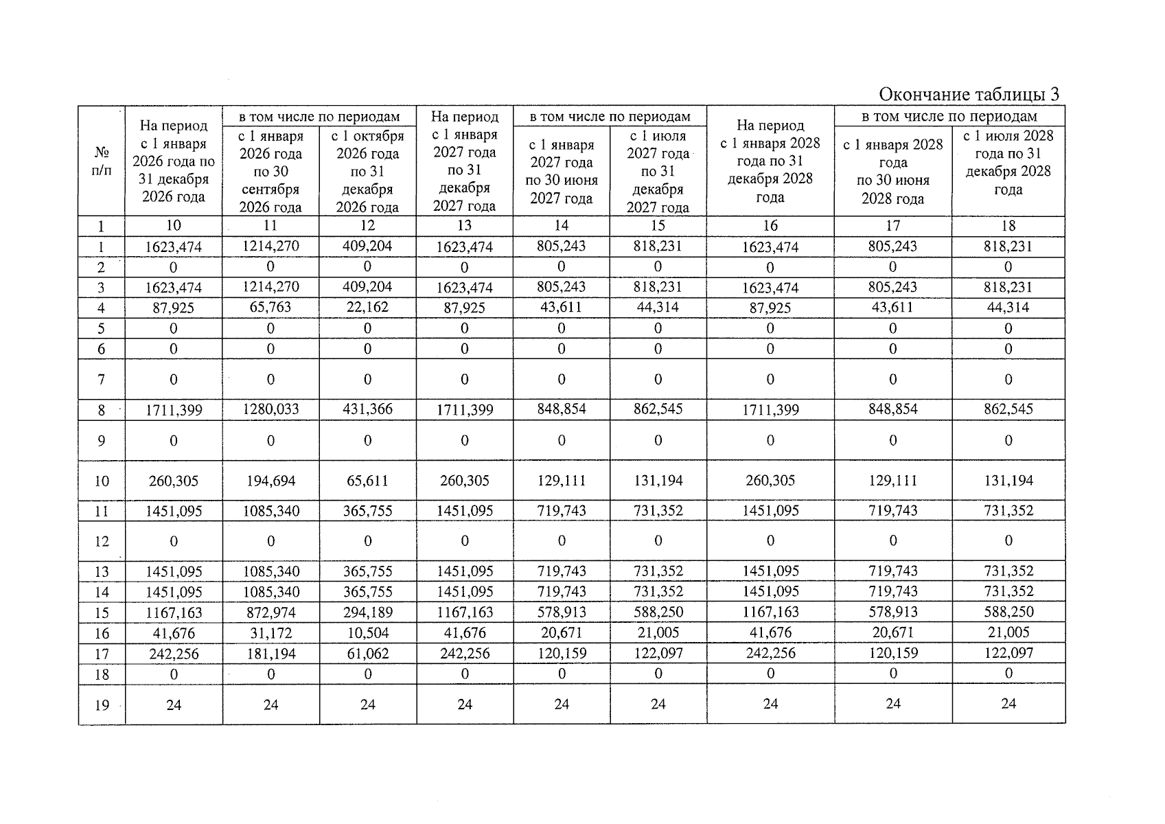
"О внесении изменений в постановление управления энергетики и тарифов Липецкой области от 14 декабря 2023 года № 64/10 "О тарифах на питьевую воду и долгосрочных параметрах регулирования МУП "Лебедянский водоканал" (ИНН 4811026470) на 2024-2028 годы"
(Зарегистрирован 17.12.2025 № ГР-380)
Номер опубликования: 4801202512170041
Дата опубликования: 17.12.2025
Страница №5 из 10:
Увеличить