Официальное опубликование правовых актов
ОФИЦИАЛЬНОЕ ОПУБЛИКОВАНИЕ
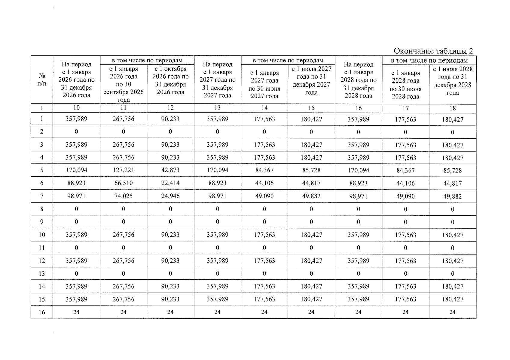
Постановление министерства энергетики и тарифов Липецкой области от 16.12.2025 № 51/17
"О внесении изменений в постановление управления энергетики и тарифов Липецкой области от 14 декабря 2023 года № 64/19 "О тарифах на водоотведение и долгосрочных параметрах регулирования МУП "Задонский водоканал" (ИНН 4808003313) на 2024-2028 годы"
(Зарегистрирован 16.12.2025 № ГР-346)
Номер опубликования: 4801202512170009
Дата опубликования: 17.12.2025
Страница №4 из 9:
Увеличить