Официальное опубликование правовых актов
ОФИЦИАЛЬНОЕ ОПУБЛИКОВАНИЕ
Постановление министерства энергетики и тарифов Липецкой области от 16.12.2025 № 51/14
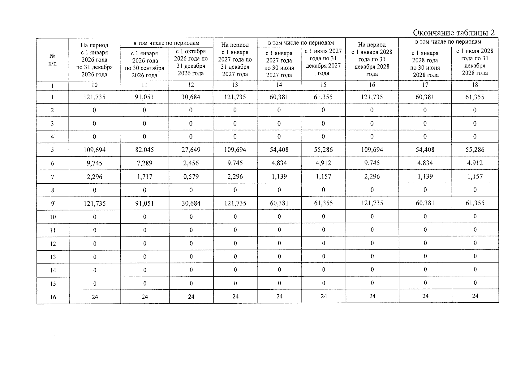
"О внесении изменений в постановление управления энергетики и тарифов Липецкой области от 14 декабря 2023 года № 64/17 "О тарифах на водоотведение и долгосрочных параметрах регулирования МУП "Добринский водоканал" (ИНН 4804006602) на 2024-2028 годы"
(Зарегистрирован 16.12.2025 № ГР-343)
Номер опубликования: 4801202512160035
Дата опубликования: 16.12.2025
Страница №12 из 17:
Увеличить